银河娱乐app

当前位置:主页 > 资讯中心 > 通知公告

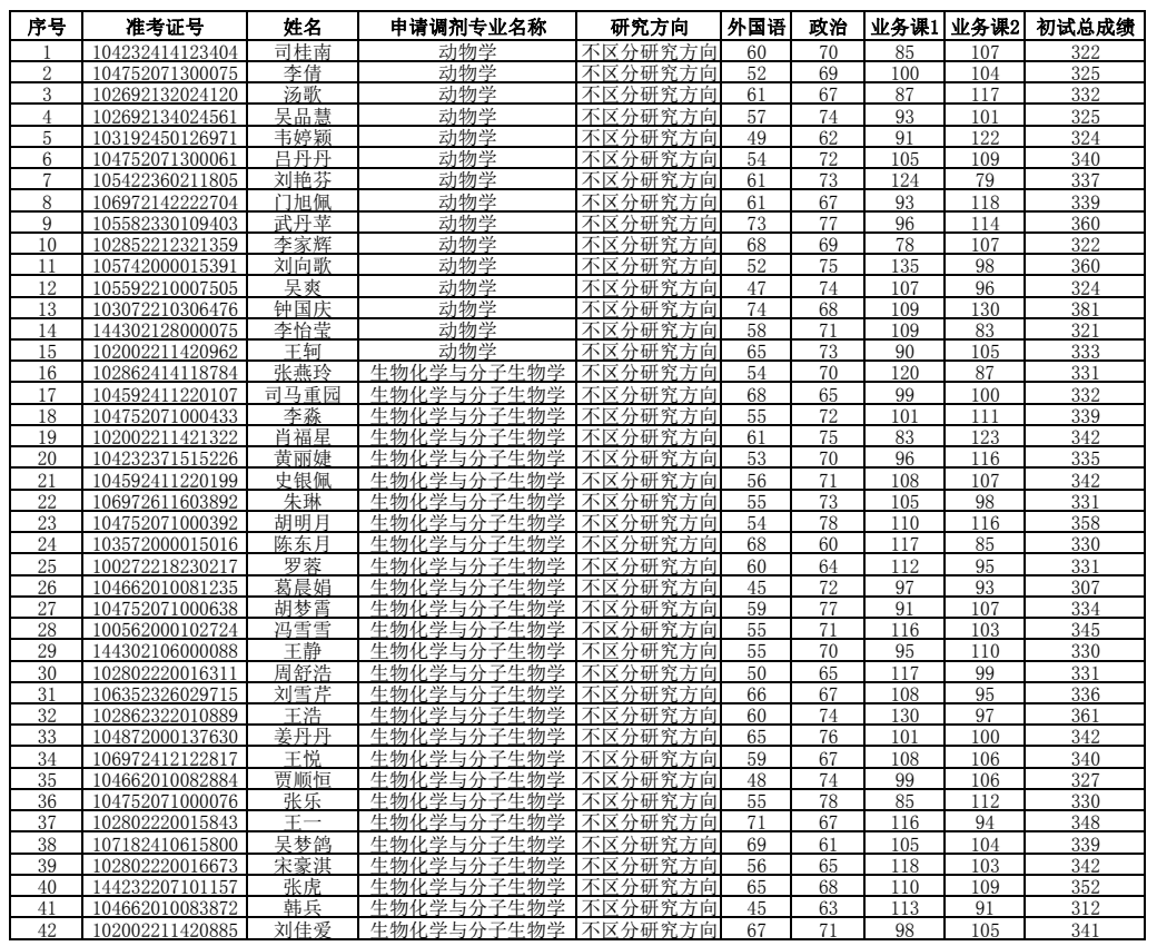
银河娱乐App 2022年硕士研究生招生调剂考生复试名单(第一批)

发布时间:2022-04-09 11:48    浏览次数: